924
Lectures Watched
Since January 1, 2014
Since January 1, 2014
- A History of the World since 1300 (68)
- History of Rock, 1970-Present (50)
- A Brief History of Humankind (48)
- Chinese Thought: Ancient Wisdom Meets Modern Science (35)
- The Modern World: Global History since 1760 (35)
- The Bible's Prehistory, Purpose, and Political Future (28)
- Introduction aux éthiques philosophiques (27)
- Jesus in Scripture and Tradition (25)
- Roman Architecture (25)
- Sexing the Canvas: Art and Gender (23)
- Descubriendo la pintura europea de 1400 a 1800 (22)
- Introduction aux droits de l'homme (19)
- Buddhism and Modern Psychology (18)
- Calvin: Histoire et réception d'une Réforme (17)
- The Ancient Greeks (16)
- À la découverte du théâtre classique français (15)
- The French Revolution (15)
- Letters of the Apostle Paul (14)
- Key Constitutional Concepts and Supreme Court Cases (14)
- Christianisme et philosophie dans l'Antiquité (14)
- Egiptología (12)
- Western Music History through Performance (10)
- The Rise of Superheroes and Their Impact On Pop Culture (9)
- The Great War and Modern Philosophy (9)
- Alexander the Great (9)
- Greek and Roman Mythology (9)
- Human Evolution: Past and Future (9)
- Phenomenology and the Conscious Mind (9)
- Masterpieces of World Literature (8)
- Villes africaines: la planification urbaine (8)
- Greeks at War: Homer at Troy (7)
- Pensamiento Científico (7)
- MongoDB for Node.js Developers (7)
- Fundamentos de la escritura en español (7)
- Introduction to Psychology (7)
- Programming Mobile Applications for Android (7)
- The Rooseveltian Century (6)
- Karl der Große - Pater Europae (6)
- Fake News, Facts, and Alternative Facts (6)
- Reason and Persuasion Through Plato's Dialogues (6)
- The Emergence of the Modern Middle East (6)
- A Beginner's Guide to Irrational Behavior (6)
- Lingua e cultura italiana: avanzata (6)
- L'avenir de la décision : connaître et agir en complexité (5)
- Understanding Einstein: The Special Theory of Relativity (5)
- Dinosaur Paleobiology (5)
- Exploring Beethoven's Piano Sonatas (5)
- War for the Greater Middle East (4)
- Emergence of Life (4)
- Introduction to Public Speaking (4)
- The Kennedy Half Century (4)
- Problèmes métaphysiques à l'épreuve de la politique, 1943-1968 (4)
- Designing Cities (4)
- Western Civilization: Ancient and Medieval Europe (3)
- Paleontology: Early Vertebrate Evolution (3)
- Orientierung Geschichte (3)
- Moons of Our Solar System (3)
- Introduction à la philosophie de Friedrich Nietzsche (3)
- Devenir entrepreneur du changement (3)
- La Commedia di Dante (3)
- History of Rock and Roll, Part One (3)
- Formation of the Universe, Solar System, Earth and Life (3)
- Initiation à la programmation en Java (3)
- La visione del mondo della Relatività e della Meccanica Quantistica (3)
- The Music of the Beatles (3)
- Analyzing the Universe (3)
- Découvrir l'anthropologie (3)
- Postwar Abstract Painting (3)
- The Science of Religion (2)
- La Philanthropie : Comprendre et Agir (2)
- Highlights of Modern Astronomy (2)
- Materials Science: 10 Things Every Engineer Should Know (2)
- The Changing Landscape of Ancient Rome (2)
- Lingua e letteratura in italiano (2)
- Gestion des aires protégées en Afrique (2)
- Géopolitique de l'Europe (2)
- Introduction à la programmation en C++ (2)
- Découvrir la science politique (2)
- Our Earth: Its Climate, History, and Processes (2)
- The European Discovery of China (2)
- Understanding Russians: Contexts of Intercultural Communication (2)
- Philosophy and the Sciences (2)
- Søren Kierkegaard: Subjectivity, Irony and the Crisis of Modernity (2)
- The Fall and Rise of Jerusalem (2)
- The Science of Gastronomy (2)
- Galaxies and Cosmology (2)
- Introduction to Classical Music (2)
- Art History for Artists, Animators and Gamers (2)
- L'art des structures 1 : Câbles et arcs (2)
- Russian History: from Lenin to Putin (2)
- The World of Wine (1)
- Wine Tasting: Sensory Techniques for Wine Analysis (1)
- William Wordsworth: Poetry, People and Place (1)
- The Talmud: A Methodological Introduction (1)
- Switzerland in Europe (1)
- The World of the String Quartet (1)
- Igor Stravinsky’s The Rite of Spring (1)
- El Mediterráneo del Renacimiento a la Ilustración (1)
- Science of Exercise (1)
- Социокультурные аспекты социальной робототехники (1)
- Russian History: from Lenin to Putin (1)
- The Rise of China (1)
- The Renaissance and Baroque City (1)
- Visualizing Postwar Tokyo (1)
- In the Night Sky: Orion (1)
- Oriental Beliefs: Between Reason and Traditions (1)
- The Biology of Music (1)
- Mountains 101 (1)
- Moral Foundations of Politics (1)
- Mobilité et urbanisme (1)
- Introduction to Mathematical Thinking (1)
- Making Sense of News (1)
- Magic in the Middle Ages (1)
- Introduction to Italian Opera (1)
- Intellectual Humility (1)
- The Computing Technology Inside Your Smartphone (1)
- Human Origins (1)
- Miracles of Human Language (1)
- From Goddard to Apollo: The History of Rockets (1)
- Hans Christian Andersen’s Fairy Tales (1)
- Handel’s Messiah and Baroque Oratorio (1)
- Theater and Globalization (1)
- Gestion et Politique de l'eau (1)
- Une introduction à la géographicité (1)
- Frontières en tous genres (1)
- Créer et développer une startup technologique (1)
- Découvrir le marketing (1)
- Escribir para Convencer (1)
- Anthropology of Current World Issues (1)
- Poetry in America: Whitman (1)
- Introducción a la genética y la evolución (1)
- Shakespeare: On the Page and in Performance (1)
- The Civil War and Reconstruction (1)
- Dinosaur Ecosystems (1)
- Développement durable (1)
- Vital Signs: Understanding What the Body Is Telling Us (1)
- Imagining Other Earths (1)
- Learning How to Learn (1)
- Miracles of Human Language: An Introduction to Linguistics (1)
- Web Intelligence and Big Data (1)
- Andy Warhol (1)
- Understanding the Brain: The Neurobiology of Everyday Life (1)
- Practicing Tolerance in a Religious Society (1)
- Subsistence Marketplaces (1)
- Physique générale - mécanique (1)
- Exercise Physiology: Understanding the Athlete Within (1)
- Introduction to Mathematical Philosophy (1)
- What Managers Can Learn from Great Philosophers (1)
- A la recherche du Grand Paris (1)
- The New Nordic Diet (1)
- A New History for a New China, 1700-2000 (1)
- The Magna Carta and its Legacy (1)
- The Age of Jefferson (1)
- History and Future of Higher Education (1)
- Éléments de Géomatique (1)
- 21st Century American Foreign Policy (1)
- The Law of the European Union (1)
- Design: Creation of Artifacts in Society (1)
- Introduction to Data Science (1)
- Configuring the World (1)
- From the Big Bang to Dark Energy (1)
- Animal Behaviour (1)
- Programming Mobile Services for Android Handheld Systems (1)
- The American South: Its Stories, Music, and Art (1)
- Care of Elders with Alzheimer's Disease (1)
- Contagious: How Things Catch On (1)
- Constitutional Law - The Structure of Government (1)
- Narratives of Nonviolence in the American Civil Rights Movement (1)
- Christianity: From Persecuted Faith to Global Religion (200-1650) (1)
- Age of Cathedrals (1)
- Controversies of British Imperialism (1)
- Big History: From the Big Bang until Today (1)
- Bemerkenswerte Menschen (1)
- The Art of Poetry (1)
- Superpowers of the Ancient World: the Near East (1)
- America Through Foreign Eyes (1)
- Advertising and Society (1)
Hundreds of free, self-paced university courses available:
my recommendations here
my recommendations here
Peruse my collection of 275
influential people of the past.
influential people of the past.
View My Class Notes via:




Receive My Class Notes via E-Mail:
Contact Me via E-Mail:
edward [at] tanguay.info
Notes on video lecture:
Dérivées
Notes taken by Edward Tanguay on April 14, 2015 (go to class or lectures)


Choose from these words to fill the blanks below:
suggère, déplacementment, vitesse, constantes, cotés, lorsque, nettoyer, calculer, petit, limité, signifier, algébrique, simple, affiner, différence, formule, mets
la dérivation d'une fonction
comment la dérivée d'une fonction de fonction
je considère la position d'un point sur un axe cartésien
je repère la position par la coordonnée x
je dis que x est une fonction du temps
je peux calculer la de ce point
x est une fonction du temps
on peux calculer une vitesse
on mesurerait le temps qu'il faut faire pour le par le temps, on obtient la vitesse
si la vitesse change en fonction du temps
on va notre mesure en prenant dans un delta t
le mathématicien dirais il faut prendre la limite delta t tend vers zéro
on reprend la définition et puis pour qu'il faut prendre la limite
on écrit v égal x de t plus dt
on utilise le terme dt au lieu de delta
on lui un point en dessus pour signifier la dérivée par rapport au temps
si on fait une dérivée deuxième, on va mettre deux points sur la variable
c'est la notion de développement limité
une transformation sur cette équation
on multiplie le dt par dt des deux
une représentation géométrique du développement
on considère les points à t et à t plus dt, voilà x de t, voilà x de t plus dt, et maintenant ce que je dis avec mon développement limité c'est que la entre x de t et x de t plus dt, c'est à peu près la dérivée que j'ai notée x point ici fois le dt
la dérivée de fonction de fonction
on a la variable t
omega et phi sont des
on a une fonction qui envoie t sur omega t plus phi
ici I est pris pour une constante, thêta point vous que thêta est une fonction du temps puisqu'on en prend la dérivée et elle est mise au carré et la question que je pose c'est maintenant que vaut la dérivée de E par rapport au temps
fonction x du temps qui peut s'exprimer comme f, fonction de g, fonction du temps
on voit qu'on a t et le dt qui est , donc je peux écrire que g au temps t plus dt, c'est g de t plus la dérivée de g par rapport au temps fois dt
on peux un petit peu l'expression
ça c'est une qu'on va très souvent utiliser parce qu'on aura très souvent des fonctions de fonctions
Flashcards:
I regret to tell you that we must now leave
je dois malheureusement maintenant vous avouer qu'on doit quitter
these outburts of ethusiasm
ces élans d'enthousiasme
we have to roll up our sleeves
nous devons retrousser les manches
you identify this way of writing
vous repèrerez tout de suite cette façon d'écrire
we will refine our measurement
on va affiner notre mesure
with respect to time
par rapport au temps
which is expressed as the limit
qui s'exprime comme la limite
the difference
l'écart
the time it took to
le temps qu'il a fallu pour
that is time-dependent
qui dépend du temps
a tool which I will refer to very often
un outil auquel je vais me référer très souvent
in the context of the course
dans le cadre de ce cours
the small increase in time
le petit accroissement de temps
I find here
je le retrouve ici
We started with a discussion
On est parti d'une discussion
merged
confondue
is taken as
est pris pour
which can be expressed as f
qui peut s'exprimer comme f
remake
refais
Enhanced Transcription:
Bonjour, bienvenue au cours de Physique Générale de l'EPFL. Pour cette première leçon j'ai commencé par une perspective historique et je dois malheureusement maintenant vous avouer qu'on doit quitter (I regret to tell you that we must now leave) ces élans d'enthousiasme (these outburts of ethusiasm) sur la nature profonde ce que peut être une science comme la mécanique et nous devons retrousser les manches (we have to roll up our sleeves) et regarder un petit peu le détail de la pratique du physicien et en particulier de celui qui fait de la mécanique.
Nous avons en mécanique, une façon, une notation, un jargon que je dois vous introduire maintenant.
Je vais commencer par parler de la dérivation d'une fonction simple.
Sur cette base-là je vais introduire ce que j'appelle un développement limité et sur la base de la notion de développement limité nous regarderons ensemble comment calculer la dérivée d'une fonction de fonction.
Je commence avec la notion de dérivée.
Comme on est dans un cours de mécanique je vais me donner un contexte propre à la mécanique.
J'imagine que je considère la position d'un point sur un axe cartésien et je repère la position (I locate the position/) par la coordonnée x et je dis que x est une fonction du temps.
J'aimerais maintenant calculer la vitesse de ce point.
Alors d'abord vous repèrerez tout de suite cette façon d'écrire (you identify this way of writing).
Tout le monde ne le fait pas mais beaucoup de physiciens le font.
C'est une façon pour nous de dire x est une fonction du temps.
C'est tout ce que cette notation veut dire.
Et bien, comment est-ce qu'on calculerait une vitesse ou comment est ce qu'on mesurerait une vitesse ?
On mesurerait un déplacement, le temps qu'il faut faire pour le déplacement, on divise le déplacement par le temps (dividing the displacement by time), on obtient la vitesse.
Si la vitesse change en fonction du temps on va affiner notre mesure (we will refine our measurement) en prenant dans cette notation-là un delta t de plus en plus petit et le mathématicien vous dira il faut prendre la limite lorsque delta t tend vers zéro.
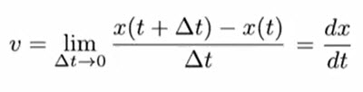
Voilà, ça ce serait la vitesse et donc c'est la dérivée de la position par rapport au temps (with respect to time), c'est donc la dérivée de la fonction x de t qui s'exprime comme la limite (which is expressed as the limit) de l'écart (the difference) en position divisée par le temps qu'il a fallu pour (the time it took to) faire cet écart et le mathématicien utilise cette notation-là.
Ceci représente pour le mathématicien un symbole.
Vous allez voir que le physicien décortique le symbole (dissects the symbol) de plusieurs manières.
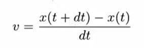
D'abord je vais reprendre ma définition (I will repeat my definition) et puis pour signifier qu'il faut prendre la limite je vais écrire v égal x de t plus dt, je vais utiliser le terme dt ici au lieu de delta t pour signifier qu'on va prendre un certain écart de temps et on va faire tendre ce temps vers zéro.
Donc j'utilise le dt dans la formule.
Autre notation, je dis que je vais écrire la vitesse dx sur dt, la dérivée par rapport au temps x point, le symbole de la variable qui dépend du temps (that is time-dependent), je lui mets un point en dessus (I put it one point up) pour signifier la dérivée par rapport au temps c'est seulement pour les dérivées par rapport au temps qu'on utilisera la notation avec le point.
Alors voilà une autre façon de torturer (torture?) le symbole des mathématiciens.
Je vais écrire dx égal v fois (times?) dt.
dx égal v fois dt.
Et maintenant si je fais une dérivée deuxième, je vais mettre deux points sur la variable.
Comme ici, v point qui serait une accélération, j'écris x point point.
Avec ma définition de la vitesse je peux introduire un outil auquel je vais me référer très souvent (a tool which I will refer to very often) dans le cadre de ce cours (in the context of the course).
C'est la notion de développement limité.
Alors, voilà mon expression de la vitesse où j'ai utilisé le dt. pour signifier que je dois prendre la limite lorsque dt tend vers zéro.
Si maintenant je fais une transformation algébrique sur cette équation-là.
Simplement je multiplie le dt par dt des deux cotés, j'ai donc un v dt ici, et maintenant je peux écrire x de t plus dt de cette manière-là.
Ce que je lis dans cette équation, c'est que si je veux calculer x à un temps t plus un petit delta t, je peux prendre x au temps t et rajouter (add) v dt.
Donc v fois le petit accroissement de temps (the small increase in time).
Cette formule-là on peut la considérer comme exacte parce qu'on a sous-entendu que (because one implied that) dt tend vers zéro.
Si maintenant on prend un delta t de valeur finie (of a finite value), on a une approximation qui nous dit que si je veux calculer x au temps t plus delta t je prends x au temps t plus la dérivée de la fonction au temps t fois le delta t.
Ce delta t là je le retrouve ici (I find here).
On est parti d'une discussion (We started with a discussion) des dérivées à propos d'un mouvement mais ceci est vrai quelle que soit la fonction (this is true regardless of the function) x de t.
Et ceci j'appelle un développement limité.
Je trouve utile d'avoir une représentation géométrique du développement limité.
Alors regardons un graphe de la fonction x de t, donc voilà la fonction x en fonction de t.
On considère les points à t et à t plus dt, voilà x de t, voilà x de t plus dt, et maintenant ce que je dis avec mon développement limité c'est que la différence entre x de t et x de t plus dt, c'est à peu près la dérivée que j'ai notée x point ici fois le dt.
Donc je dis que ça, c'est à peu près égal à ça (is nearly equal to that).
Pourquoi? Parce qu'on voit sur le dessin, si maintenant je prends dt tend vers zéro la courbe se rapproche de la tangente (the curve approaches the tangent) au point d'être pratiquement confondue (merged), en effet l'erreur ici est au moins de deuxième ordre en dt.
Maintenant je peux passer à la dérivée de fonction de fonction.
Qu'est ce que j'appelle une fonction de fonction?
Regardez cette expression-là.
Ici j'ai la variable t, omega et phi sont supposés être des constantes, on va très vite rencontrer cette fonction-là dans le cadre de la mécanique.
On a une fonction qui envoie t (It has a function which sends t/?) sur omega t plus phi, une fonction linéaire, et après on prend le cosinus de cette fonction-là.
En ce sens-là on a une fonction de fonction.
Ce cas-là est peut être trivial alors je vous en montre un autre (I'll show you another).
Une autre expression issue de (which comes from) la mécanique.
Peu importe ce que les symboles veulent dire.
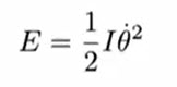
Ici I est pris pour (is taken as) une constante, thêta point vous suggère que thêta est une fonction du temps puisqu'on en prend la dérivée (since we take the derivative) et elle est mise au carré (squared) et la question que je pose c'est maintenant que vaut (applies?) la dérivée de E par rapport au temps?
Alors, généralisons.
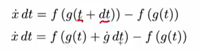
Je suppose que j'ai une fonction x du temps qui peut s'exprimer comme f (which can be expressed as f), fonction de g, fonction du temps.
Je veux calculer la dérivée.
Alors, comment je fais ?
Si je veux calculer x point, je dois calculer f de g au temps t plus dt, moins f de g au temps t, ici j'ai g au temps t plus dt, ici j'ai g de t, je fais la différence des deux valeurs de f et cela doit me donner x point fois dt.
Alors à ce point-là du calcul, je vais utiliser ma règle du développement limité.
Vous voyez ici j'ai t et ici le dt qui est beaucoup plus petit, qui est petit, donc je peux écrire que g au temps (in the time?) t plus dt, c'est g de t plus la dérivée de g par rapport au temps fois dt.
Et maintenant à l'intérieur de l'argument de f, je repère (I locate) un g de t et un terme petit, g point fois dt.
Je vais utiliser encore une fois ma règle des développements limités donc ici je reconnais que l'argument de f, c'est g de t plus quelque chose de petit, alors ma règle du développement limité dit que f, je peux l'approximer comme f en g de t plus la dérivée de f par rapport à son argument et je vais l'écrire d de f sur d de g, fois cet élément-là.
Maintenant, ces deux s'annulent, il ne reste plus que ce terme-là, je nettoie un petit peu l'expression, j'ai donc trouvé que la dérivée de x par rapport au temps c'est la dérivée de f par rapport à g, fois la dérivée de g par rapport au temps.
Ça c'est une formule qu'on va très souvent utiliser parce qu'on aura très souvent des fonctions de fonctions.
Appliquons cette règle aux fonctions qu'on s'était données ici (that are given here).
Commençons avec le cosinus.
Ici on a un cosinus d'une fonction omega t plus phi donc ce qu'on a appelé g ici c'est omega t plus phi, il faut donc dériver omega t plus phi par rapport au temps, ça donne omega, et multiplier par la dérivée de f par rapport à son argument.
Dérivée du cosinus moins sinus.
Donc dans le premier exemple on a moins omega sin omega t plus phi.
Dans le deuxième exemple, il faut voir qu'on a une fonction qui vaut thêta point si on veut le g de t, c'est le thêta point, et puis après on fait une demie de I fois cette fonction au carré (this function squared).
Alors quand on dérive, il faut dériver le thêta point, ça va nous donner thêta point point, et puis la dérivée de une demie de I fois une fonction au carré, ça fait I fois la fonction, donc I fois thêta point.
Voilà, on a la dérivée par rapport au temps de E qui vaut I fois thêta point et fois thêta point point dans cette notation.
On peut se faire une représentation géométrique de ce calcul de la dérivée de fonction de fonction.
Alors ici je refais (remake) un graphique de f fonction de g, vous avez f en fonction de g, voilà la courbe f de g, on considère g au temps t, g au temps t plus un petit bout (a little bit), qui vaut (which is?) g de t plus g point fois dt, la différence entre les deux c'est bien g point fois dt et maintenant ce qu'on dit du développement limité c'est que cet écart-là c'est à peu près celui ci qui vaut la pente (the slope) et la pente c'est df sur dg fois cet écart g point fois dt, et on retrouve ici la formule pour x point.
Nous avons en mécanique, une façon, une notation, un jargon que je dois vous introduire maintenant.
Je vais commencer par parler de la dérivation d'une fonction simple.
Sur cette base-là je vais introduire ce que j'appelle un développement limité et sur la base de la notion de développement limité nous regarderons ensemble comment calculer la dérivée d'une fonction de fonction.
Je commence avec la notion de dérivée.
Comme on est dans un cours de mécanique je vais me donner un contexte propre à la mécanique.
J'imagine que je considère la position d'un point sur un axe cartésien et je repère la position (I locate the position/) par la coordonnée x et je dis que x est une fonction du temps.
J'aimerais maintenant calculer la vitesse de ce point.
Alors d'abord vous repèrerez tout de suite cette façon d'écrire (you identify this way of writing).
Tout le monde ne le fait pas mais beaucoup de physiciens le font.
C'est une façon pour nous de dire x est une fonction du temps.
C'est tout ce que cette notation veut dire.
Et bien, comment est-ce qu'on calculerait une vitesse ou comment est ce qu'on mesurerait une vitesse ?
On mesurerait un déplacement, le temps qu'il faut faire pour le déplacement, on divise le déplacement par le temps (dividing the displacement by time), on obtient la vitesse.
Si la vitesse change en fonction du temps on va affiner notre mesure (we will refine our measurement) en prenant dans cette notation-là un delta t de plus en plus petit et le mathématicien vous dira il faut prendre la limite lorsque delta t tend vers zéro.
Voilà, ça ce serait la vitesse et donc c'est la dérivée de la position par rapport au temps (with respect to time), c'est donc la dérivée de la fonction x de t qui s'exprime comme la limite (which is expressed as the limit) de l'écart (the difference) en position divisée par le temps qu'il a fallu pour (the time it took to) faire cet écart et le mathématicien utilise cette notation-là.
Ceci représente pour le mathématicien un symbole.
Vous allez voir que le physicien décortique le symbole (dissects the symbol) de plusieurs manières.
D'abord je vais reprendre ma définition (I will repeat my definition) et puis pour signifier qu'il faut prendre la limite je vais écrire v égal x de t plus dt, je vais utiliser le terme dt ici au lieu de delta t pour signifier qu'on va prendre un certain écart de temps et on va faire tendre ce temps vers zéro.
Donc j'utilise le dt dans la formule.
Autre notation, je dis que je vais écrire la vitesse dx sur dt, la dérivée par rapport au temps x point, le symbole de la variable qui dépend du temps (that is time-dependent), je lui mets un point en dessus (I put it one point up) pour signifier la dérivée par rapport au temps c'est seulement pour les dérivées par rapport au temps qu'on utilisera la notation avec le point.
Alors voilà une autre façon de torturer (torture?) le symbole des mathématiciens.
Je vais écrire dx égal v fois (times?) dt.
dx égal v fois dt.
Et maintenant si je fais une dérivée deuxième, je vais mettre deux points sur la variable.
Comme ici, v point qui serait une accélération, j'écris x point point.
Avec ma définition de la vitesse je peux introduire un outil auquel je vais me référer très souvent (a tool which I will refer to very often) dans le cadre de ce cours (in the context of the course).
C'est la notion de développement limité.
Alors, voilà mon expression de la vitesse où j'ai utilisé le dt. pour signifier que je dois prendre la limite lorsque dt tend vers zéro.
Si maintenant je fais une transformation algébrique sur cette équation-là.
Simplement je multiplie le dt par dt des deux cotés, j'ai donc un v dt ici, et maintenant je peux écrire x de t plus dt de cette manière-là.
Ce que je lis dans cette équation, c'est que si je veux calculer x à un temps t plus un petit delta t, je peux prendre x au temps t et rajouter (add) v dt.
Donc v fois le petit accroissement de temps (the small increase in time).
Cette formule-là on peut la considérer comme exacte parce qu'on a sous-entendu que (because one implied that) dt tend vers zéro.
Si maintenant on prend un delta t de valeur finie (of a finite value), on a une approximation qui nous dit que si je veux calculer x au temps t plus delta t je prends x au temps t plus la dérivée de la fonction au temps t fois le delta t.
Ce delta t là je le retrouve ici (I find here).
On est parti d'une discussion (We started with a discussion) des dérivées à propos d'un mouvement mais ceci est vrai quelle que soit la fonction (this is true regardless of the function) x de t.
Et ceci j'appelle un développement limité.
Je trouve utile d'avoir une représentation géométrique du développement limité.
Alors regardons un graphe de la fonction x de t, donc voilà la fonction x en fonction de t.
On considère les points à t et à t plus dt, voilà x de t, voilà x de t plus dt, et maintenant ce que je dis avec mon développement limité c'est que la différence entre x de t et x de t plus dt, c'est à peu près la dérivée que j'ai notée x point ici fois le dt.
Donc je dis que ça, c'est à peu près égal à ça (is nearly equal to that).
Pourquoi? Parce qu'on voit sur le dessin, si maintenant je prends dt tend vers zéro la courbe se rapproche de la tangente (the curve approaches the tangent) au point d'être pratiquement confondue (merged), en effet l'erreur ici est au moins de deuxième ordre en dt.
Maintenant je peux passer à la dérivée de fonction de fonction.
Qu'est ce que j'appelle une fonction de fonction?
Regardez cette expression-là.
Ici j'ai la variable t, omega et phi sont supposés être des constantes, on va très vite rencontrer cette fonction-là dans le cadre de la mécanique.
On a une fonction qui envoie t (It has a function which sends t/?) sur omega t plus phi, une fonction linéaire, et après on prend le cosinus de cette fonction-là.
En ce sens-là on a une fonction de fonction.
Ce cas-là est peut être trivial alors je vous en montre un autre (I'll show you another).
Une autre expression issue de (which comes from) la mécanique.
Peu importe ce que les symboles veulent dire.
Ici I est pris pour (is taken as) une constante, thêta point vous suggère que thêta est une fonction du temps puisqu'on en prend la dérivée (since we take the derivative) et elle est mise au carré (squared) et la question que je pose c'est maintenant que vaut (applies?) la dérivée de E par rapport au temps?
Alors, généralisons.
Je suppose que j'ai une fonction x du temps qui peut s'exprimer comme f (which can be expressed as f), fonction de g, fonction du temps.
Je veux calculer la dérivée.
Alors, comment je fais ?
Si je veux calculer x point, je dois calculer f de g au temps t plus dt, moins f de g au temps t, ici j'ai g au temps t plus dt, ici j'ai g de t, je fais la différence des deux valeurs de f et cela doit me donner x point fois dt.
Alors à ce point-là du calcul, je vais utiliser ma règle du développement limité.
Vous voyez ici j'ai t et ici le dt qui est beaucoup plus petit, qui est petit, donc je peux écrire que g au temps (in the time?) t plus dt, c'est g de t plus la dérivée de g par rapport au temps fois dt.
Et maintenant à l'intérieur de l'argument de f, je repère (I locate) un g de t et un terme petit, g point fois dt.
Je vais utiliser encore une fois ma règle des développements limités donc ici je reconnais que l'argument de f, c'est g de t plus quelque chose de petit, alors ma règle du développement limité dit que f, je peux l'approximer comme f en g de t plus la dérivée de f par rapport à son argument et je vais l'écrire d de f sur d de g, fois cet élément-là.
Maintenant, ces deux s'annulent, il ne reste plus que ce terme-là, je nettoie un petit peu l'expression, j'ai donc trouvé que la dérivée de x par rapport au temps c'est la dérivée de f par rapport à g, fois la dérivée de g par rapport au temps.
Ça c'est une formule qu'on va très souvent utiliser parce qu'on aura très souvent des fonctions de fonctions.
Appliquons cette règle aux fonctions qu'on s'était données ici (that are given here).
Commençons avec le cosinus.
Ici on a un cosinus d'une fonction omega t plus phi donc ce qu'on a appelé g ici c'est omega t plus phi, il faut donc dériver omega t plus phi par rapport au temps, ça donne omega, et multiplier par la dérivée de f par rapport à son argument.
Dérivée du cosinus moins sinus.
Donc dans le premier exemple on a moins omega sin omega t plus phi.
Dans le deuxième exemple, il faut voir qu'on a une fonction qui vaut thêta point si on veut le g de t, c'est le thêta point, et puis après on fait une demie de I fois cette fonction au carré (this function squared).
Alors quand on dérive, il faut dériver le thêta point, ça va nous donner thêta point point, et puis la dérivée de une demie de I fois une fonction au carré, ça fait I fois la fonction, donc I fois thêta point.
Voilà, on a la dérivée par rapport au temps de E qui vaut I fois thêta point et fois thêta point point dans cette notation.
On peut se faire une représentation géométrique de ce calcul de la dérivée de fonction de fonction.
Alors ici je refais (remake) un graphique de f fonction de g, vous avez f en fonction de g, voilà la courbe f de g, on considère g au temps t, g au temps t plus un petit bout (a little bit), qui vaut (which is?) g de t plus g point fois dt, la différence entre les deux c'est bien g point fois dt et maintenant ce qu'on dit du développement limité c'est que cet écart-là c'est à peu près celui ci qui vaut la pente (the slope) et la pente c'est df sur dg fois cet écart g point fois dt, et on retrouve ici la formule pour x point.